Temporal Changes in Phytolith Composition in Core A6-6 from the Changjiang River Estuary. (IMAGE)
Caption
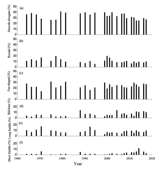
(a) Smooth elongate; (b) Cap-shaped; (c) Fan-shaped; (d) Dumbbell-shaped; (e) Long saddle; (f) Short saddle. The notation "%" indicates the proportion relative to total particles. Smooth elongate phytoliths dominate the assemblage. Dam-induced reduction in riverine sediment transport significantly altered the composition of phytoliths in the river-estuary system, leading to a relative decrease in phytolith deposition compared to diatoms in the estuary. Over the past 60 years, phytoliths in the sediments of the Changjiang River Estuary have exhibited an overall trend of "decreasing abundance but stable dominant types". This change primarily reflects the decline in terrestrial material input due to human activities (damming), while also recording information on climate change within the watershed.
Credit
©Science China Press
Usage Restrictions
Use with credit.
License
Original content