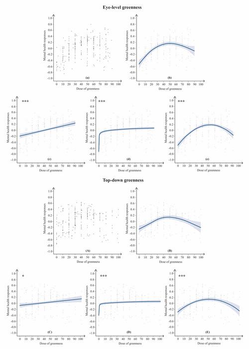
Key figure 2 (IMAGE) The University of Hong Kong Caption Key figure 2 Credit The University of Hong Kong Usage Restrictions N/A License Original content Disclaimer: AAAS and EurekAlert! are not responsible for the accuracy of news releases posted to EurekAlert! by contributing institutions or for the use of any information through the EurekAlert system.