𝑇CDW pressure trend (IMAGE)
Caption
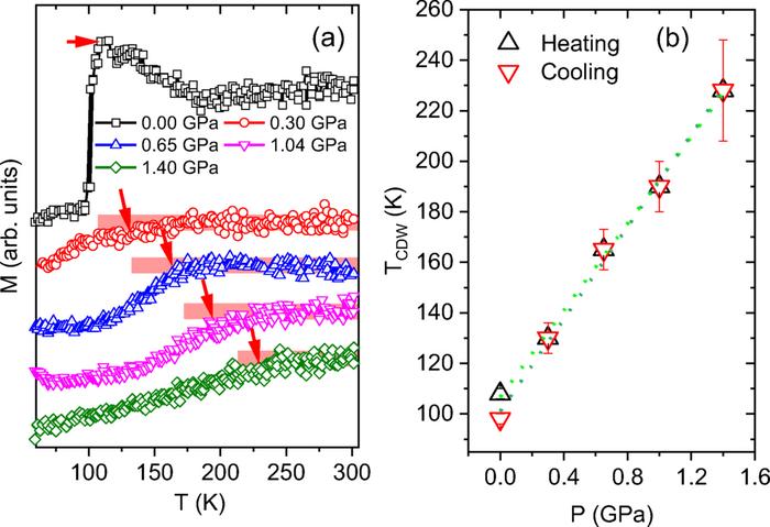
𝑀(𝑇) under various fixed pressures measured during the heating process. (b) Pressure dependence of 𝑇CDW extracted from both cooling and heating measurements. The dotted line is included as a guide to the eye to emphasize the overall trend of 𝑇CDW with pressure.
Credit
Physical Review Letters (2025). DOI: https://doi.org/10.1103/dxzf-fx8k
Usage Restrictions
No restrictions
License
Original content