Fig. 5. Electrostatic force FE expressed as a function of 3 variables (IMAGE)
Caption
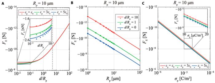
Fig. 5. Electrostatic force FE expressed as a function of 3 variables: (A) the dimensionless separation distance d/Rp, (B) the particle radius Rp, and (C) the surface charge density σp. The theoretical results are represented by solid lines, and the simulated values are represented by dots.
Credit
Space: Science & Technology
Usage Restrictions
News organizations may use or redistribute this image, with proper attribution, as part of news coverage of this paper only.
License
Licensed content