Discriminative performance of VR-specific mortality prediction models across training and validation cohorts (IMAGE)
Caption
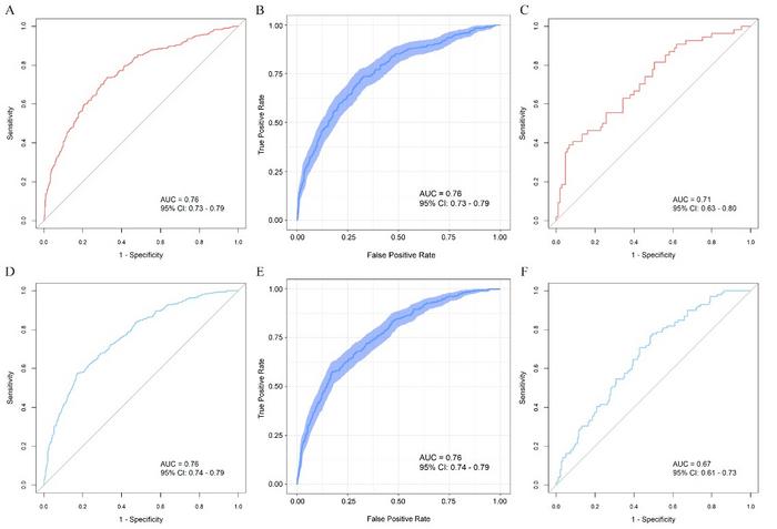
ROC curves illustrating the discriminative ability of the VR-specific 30-day mortality prediction models. (A–C) Performance of the high VR model in the ARDSnet training cohort (A), internal validation (B), and external validation cohort (C). (D–F) Performance of the low VR model in the ARDSnet training cohort (D), internal validation (E), and external validation cohort (F). Area under the curve (AUC) values with 95% confidence intervals are shown in each panel. Diagonal lines indicate reference lines of no discrimination.
Credit
Dr. Yonghao Xu from the First Affiliated Hospital of Guangzhou Medical University Image Source Link: https://www.sciencedirect.com/science/article/pii/S2667100X25000787?via%3Dihub
Usage Restrictions
Credit must be given to the creator.
License
CC BY