Navigating the storm: Climate policy uncertainty drives companies to improve ESG performance
Shanghai Jiao Tong University Journal Center
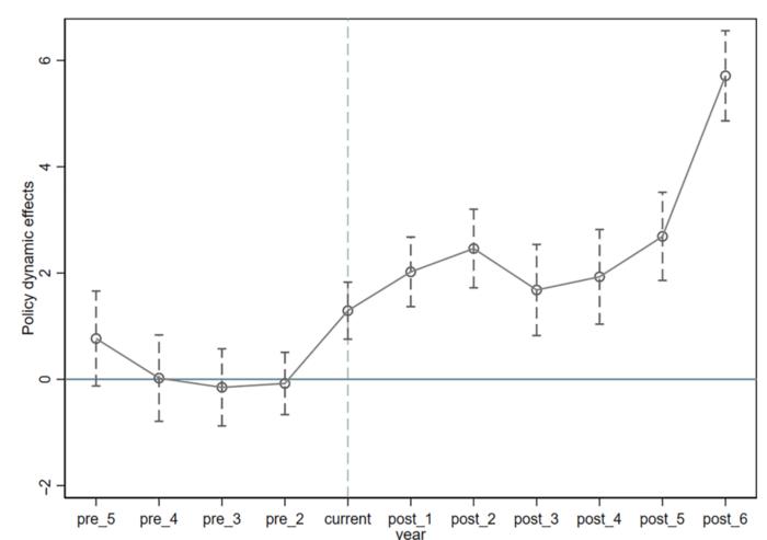
image: Dynamic effects of climate policy (the Paris Agreement on climate change was implemented in 2016)
Credit: Zhifeng Dai and Qinnan Jiang.
Background and Motivation
In an era defined by the climate crisis, governments worldwide are implementing policies to transition to a greener economy. However, the path forward is often unclear, leading to significant Climate Policy Uncertainty (CPU). For corporations, this uncertainty poses a critical question: how should they respond? This study investigates the relationship between CPU and corporate Environmental, Social, and Governance (ESG) performance in China. The primary motivation is to uncover the underlying rationale behind corporate ESG strategies in the face of regulatory unpredictability and to determine if improving ESG performance is a genuine tool for risk mitigation.
Methodology and Scope
This research is based on a comprehensive analysis of panel data from 4,490 Chinese listed companies over 12 years, from 2011 to 2022. The researchers employed rigorous statistical models, including regression analysis, to establish the core relationship. To ensure the robustness of their findings, they utilised advanced methodologies such as Propensity Score Matching (PSM), Two-Stage Least Squares (2SLS), System Generalised Method of Moments (sys-GMM), and Difference-in-Differences (DID). These methods were crucial for confirming causality and analysing the role of enterprise systematic risk as a mediating factor.
Key Findings and Contributions
- A Positive Catalyst: Contrary to potentially stifling innovation, Climate Policy Uncertainty has a positive correlation with corporate ESG performance. As uncertainty increases, companies tend to improve their ESG scores.
- The Risk Mitigation Motive: The primary driver for this improvement is risk reduction. The study finds that companies with higher inherent systemic risk are the ones that improve their ESG performance most significantly in response to CPU. This positions ESG as a strategic shield against external volatility.
- Varied Impact Across Sectors: The effect is not uniform across the board. The positive relationship is stronger in:
- Non-state-owned enterprises (compared to state-owned ones).
- Heavy-polluting industries.
- Companies in highly competitive markets and regions with strict environmental regulations.
- Tangible Benefits: Enhancing ESG performance effectively helps companies mitigate the risks and improve total factor productivity that arise from increased CPU.
Why It Matters
This research is vital for policymakers and business leaders alike. It demonstrates that clear, predictable long-term climate policy is essential, but even in times of uncertainty, the market can drive positive environmental and social outcomes. For the global community, it shows that ESG is not merely a "nice-to-have" but a strategic imperative for corporate resilience. The findings offer empirical evidence for the concept of coordinated development and security, showing how companies can pursue sustainable growth while managing risk in a volatile policy landscape.
Practical Applications
- For Corporate Boards and Executives: This study offers a clear rationale for investing in ESG. It is a proven strategy to hedge against climate policy risk. Companies, especially those in high-risk sectors, should proactively strengthen their ESG frameworks to build resilience, secure investor confidence, and enhance long-term productivity.
- For Investors and Analysts: The findings highlight that a company's response to CPU—specifically its ESG performance—can be a key indicator of its risk management capabilities and future stability.
- For Policymakers: While uncertainty can drive some positive action, the study underscores the importance of striving for a stable and predictable policy environment to guide corporate investment efficiently. It provides a reference for designing policies that effectively mitigate the adverse impacts of broader economic uncertainties.
Discover high-quality academic insights in finance from this article published in China Finance Review International. Click the DOI below to read the full-text!
Disclaimer: AAAS and EurekAlert! are not responsible for the accuracy of news releases posted to EurekAlert! by contributing institutions or for the use of any information through the EurekAlert system.